关于RGD环肽的研究,非常广泛,今天这里介绍下,如何快速画出一条肽段 和RGD环肽相结合的结构。
例如 一条多肽GGGGRGDSP 和RGD环肽 c(RGDfK)相结合,只需在专肽生物的多肽结构计算器中输入 GGGGRGDSP-c(RGDfK) ,或 GGGGRGDSP-RGD环肽即可。展示如下图

红色序列可以是任意氨基酸序列。复制序列到专肽生物的多肽参数计算器中,可查看分子量,分子式等参数。
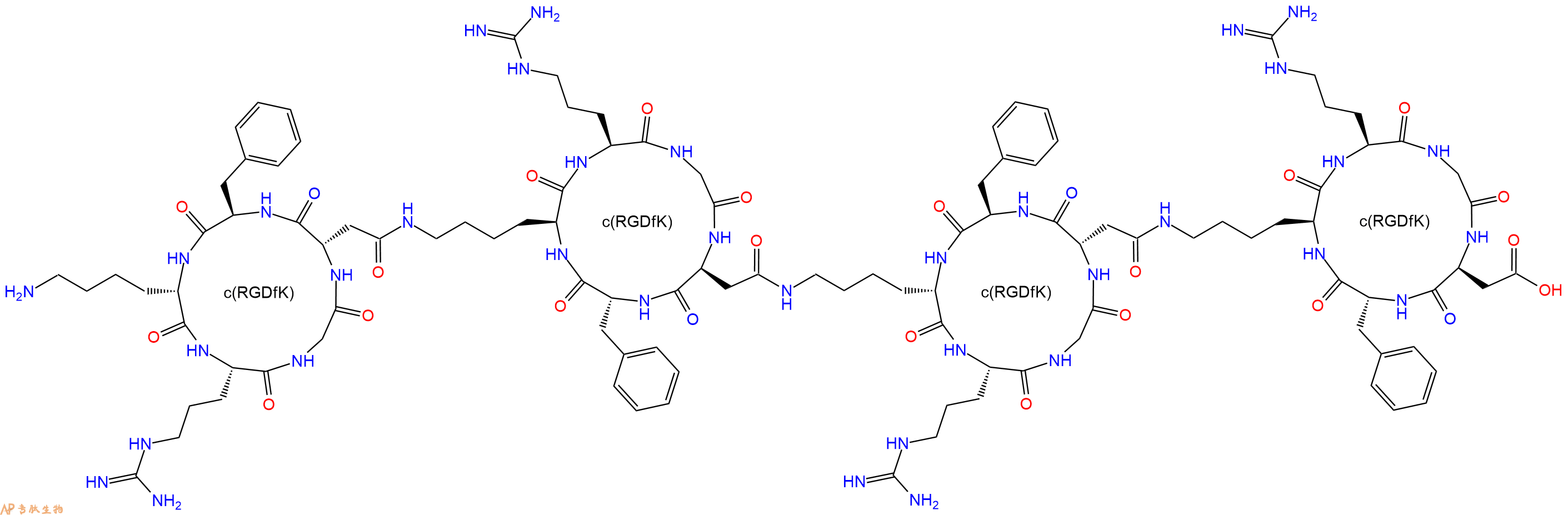
问:那我可以画出多个RGD环肽相连接的结构吗?例如c(RGDfK)-c(RGDfK)-c(RGDfK)-c(RGDfK)
答:可以画出的,例如复制上面的序列,一秒即可得到下图

不过这个结构不一定能合成出来,难度系数很大。

结构计算器导航:百度搜索“专肽生物”,进入专肽生物官网首页,点击多肽计算器,选择结构计算器即可。
如有使用问题,可联系专员微信:allpeptide





