400-998-5282
专注多肽 服务科研

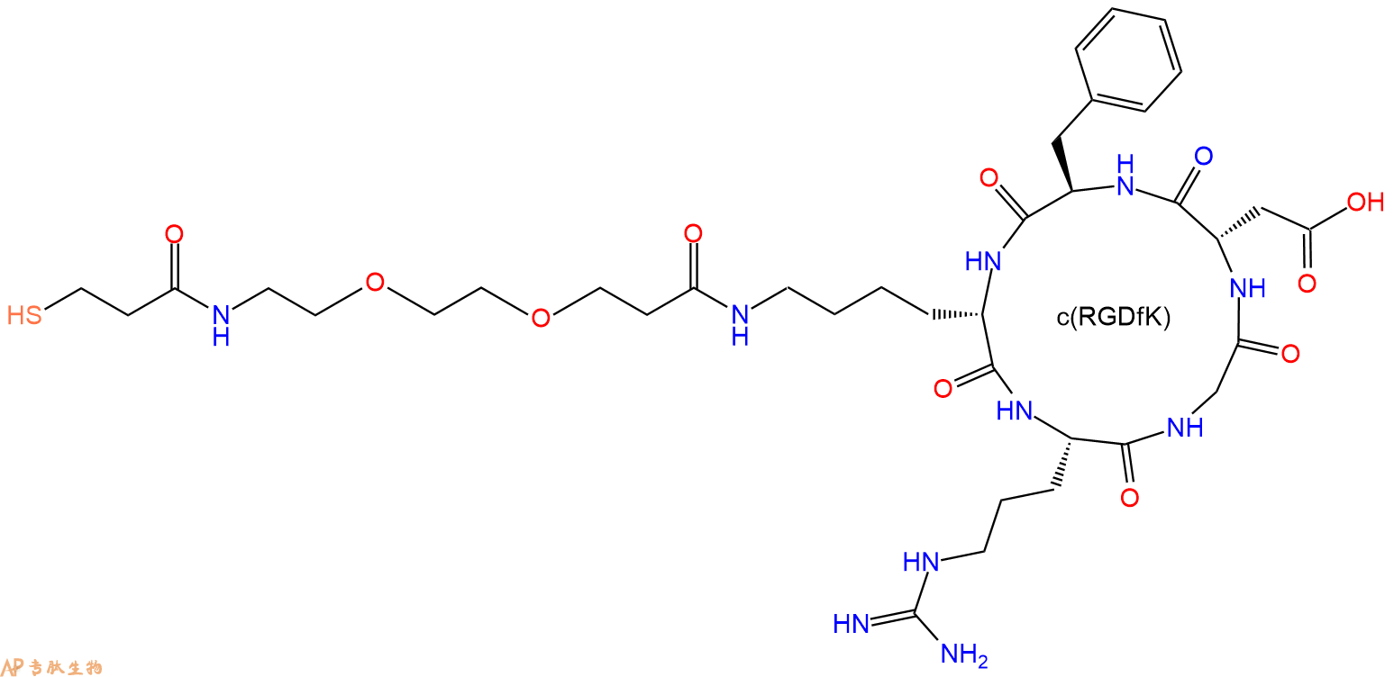
类似于这样的结构,如何快速画出呢,只需在专肽生物 结构计算器 中,输入 RGD-c(RGDfK),c(RGDyK)代表右侧的c(RGDyK)环,左侧的肽段RGD,可以换成任意的序列。
如常见的输入
1、Cys-c(RGDfK) 或输入 半胱氨酸-c(RGDfK)

2、Mpa-c(RGDfK) 或输入 巯基丙酸-c(RGDfK)

3、Mpa-PEG2-c(RGDfK) 或输入 巯基丙酸-PEG2-c(RGDfK)

4、Cya-c(RGDfK) 或输入 巯基乙酸-c(RGDfK)

5、XXX-c(RGDfK),XXX代表任意序列,如XXX代表GGGRGDS,输入GGGRGDS-c(RGDfK)

以上所有序列输入中,c(RGDfK)均可换成常见的 c(RGDyK)

结构计算器导航:百度搜索“专肽生物”,进入专肽生物官网首页,点击多肽计算器,选择结构计算器即可。
如有使用问题,可联系专员微信:allpeptide
专肽生物原创文章,请勿复制商用,侵权必究。





